제약회사 품질관리(QC) 실험실 실무지식 무료나눔 | QCLAB 제약회사 품질관리팀에서 쌓은 경험을 바탕으로, 체계적인 품질관리와 독창적인 브랜딩을 결합해 기존의 틀을 넘어서는 새로운 형태의 블로그 운영
Why we began this journey... What is identity? 자세히보기

브랜딩(Branding) 260

에스프레소 품질관리 시험 항목

에스프레소의 특성은? 에스프레소는 가용성 고형성분 및 불용성 커피 오일이 추출되어 추출액에 함유되어 있어 이에 따라 다른 방식으로 추출된 커피나 순수한 물과 비교했을 때 특성들이 다른 차이를 보이게 된다. 밀도 (Density)에스프레소 밀도는 대충 1.02 정도야. 순수한 물이 1.0인데 거의 비슷하지. 그 이유는 에스프레소 안에 있는 오일이 물보다 밀도가 낮아서 전체 밀도를 낮추기 때문이야.점도 (Viscosity)에스프레소는 바디감이 있어서 점도가 물보다 훨씬 높아. 물의 점도는 30℃에서 0.61(mPa·s)이야. 근데 에스프레소는 바디감에 따라 Low-body는 1.51, High-body는 2.01까지 올라가.굴절률 (Refractive index)빛이 물질을 통과하면 속도가 달라지면서 꺾이잖..

인도 커피 브랜드 ‘카피네이트 선샤인’의 경영 매뉴얼에서 배우는 카페 운영의 본질

‘Coffee Shop Management’라는 제목으로 2017년 국제기술경영응용과학저널(IJLTEMAS)에 게재된 이 논문은 단순한 카페 창업 사례가 아니라, 하나의 브랜드 시스템을 완성해가는 구체적인 과정에 대한 실무 보고서다. 논문의 주제는 인도 타밀나두 지역에서 운영되는 카페 브랜드 ‘Kaffinate Sunshine Café’의 기획과 경영 모델 분석이며, 학생들이 실제 사업을 모델링하면서 작성한 문서이지만 그 구조와 체계는 놀라울 만큼 현실적이다.논문은 먼저 브랜드 콘셉트를 제시한다. ‘Expresso Yourself’라는 슬로건 아래, 도심 속에서 아침의 햇살처럼 따뜻한 공간을 제공하겠다는 비전을 담고 있다. 목표는 단순한 카페 운영이 아니라, 커피 한 잔을 통해 ‘일상의 리듬을 회복시키는..

델라웨어 테크니컬 커뮤니티 칼리지의 식음료 운영 매뉴얼에서 배우는 조직 시스템의 완성도

델라웨어 테크니컬 커뮤니티 칼리지(Stanton/Wilmington 캠퍼스)는 단순한 학문 기관이 아니라, 운영의 모든 영역을 매뉴얼화한 체계적인 조직 모델로 알려져 있다. 2022년 개정된 Food Service and Conferencing Policy and Operations Manual은 대학 내 카페테리아, 컨퍼런스 센터, 케이터링 서비스를 통합적으로 관리하기 위한 표준운영절차(SOP) 집약서다. 단순한 조리 매뉴얼이 아니라, 사람·위생·재정·고객응대 전반을 다루는 시스템 매뉴얼에 가깝다. 문서는 크게 다섯 축으로 구성된다. 첫째는 인사 및 출퇴근 관리 정책이다. 모든 직원은 근무 전후의 출퇴근 시간을 명확히 기록하고, 결근이나 지각 시 반드시 2시간 전 통보를 해야 한다. 3일 이상 무단결근..

하와이대학의 농업 실험실 SOP에서 배우는 진짜 품질관리의 기본기

하와이대학교 마노아 캠퍼스 산하 열대농업자원대학(College of Tropical Agriculture & Human Resources)은 2022년에 ‘IR-4 Field Research Center’를 위한 표준작업절차서(Standard Operating Procedures, SOP)를 발표했다. 이 문서는 단순한 실험 매뉴얼이 아니라, 연구 신뢰성을 보장하기 위한 과학적 시스템의 정수다.문서의 목적은 명확하다. 모든 실험이 40 CFR Part 160, 즉 미국 환경보호청(EPA)의 GLP(Good Laboratory Practice) 기준에 부합하도록 운영하는 것이다. 쉽게 말해, 농약 실험이나 식물 보호 연구가 제약공정과 동일한 수준의 품질관리 체계로 관리되도록 만든 것이다. 내용을 보면 우..

제약회사 QbD 시스템을 커피팜에 약식으로나마 적용하는 날이 오지 않을까?

QbD 시스템?설계기반 품질고도화란 과학적 접근법과 품질위험관리에 근거하여 제품 및 공정에 대한 이해와 공정관리를 강조하는 체계적인 접근법이다. QbD는 현재 제약회사에도 적용하기 힘들다.. 그만큼.. 어렵고 힘들다.. 국내 제약사들은 의약품  설계기반 품질고도화(QbD, Quality by Design) 도입과 적용 필요성에 대체적으로 공감하지만, 여전히 10곳 중 약 6곳은 한번도 적용한 경험이 없는 것으로 파악됐다.이 같은 사실은 국회예산정책처가 최근 공개한 '2022회계연도 결산 위원회별 분석' 보고서를 통해 확인됐다.1일 관련 보고서를 보면, 식품의약품안전처는 의약품 제조 및 품질 관리  체계 고도화를 통해 국내 제약산업의 산업경쟁력을 강화하고, 맞춤형 지원으로 국내 개발의약품의 신속한 제품화 ..

HPLC 크로마토그램을 활용한 광고 아이디어

실제로 커피팜 산하 큐씨랩을 운영할 예정이지만, 상당한 고가의 장비(HPLC 같은경우 신품가격이 1억 가까이 한다.)는 구매하지 못한다. 현실적으로도 유해화학물질을 사용해야하기 때문에.. 허가도 받아야되므로... 어렵다. 그래서 생각한것이 HPLC를 분석하면 육안으로 크로마토그램을 확인할 수 있다. 이것을 마케팅에 활용할 수 있겠다는 생각이 들었다. 분석을 진행하면 시간에 따라 피크가 나타나는데 그 피크마다 네이밍을 붙인다. 이름을 COFFEE , PHARM, QCLAB 등으로 붙여 영상으로 만들어 실시간 모니터로 노출 시킨다. 추가로 실제로 분석은 진행하지 않지만 HPLC 본체만 구매하여 옆에 모니터로 분석을 하는것처럼 보여주는것도 한가지 방법이겠다.   오리지날 마케팅 아이디어오늘도 한개 건졌네 ^^

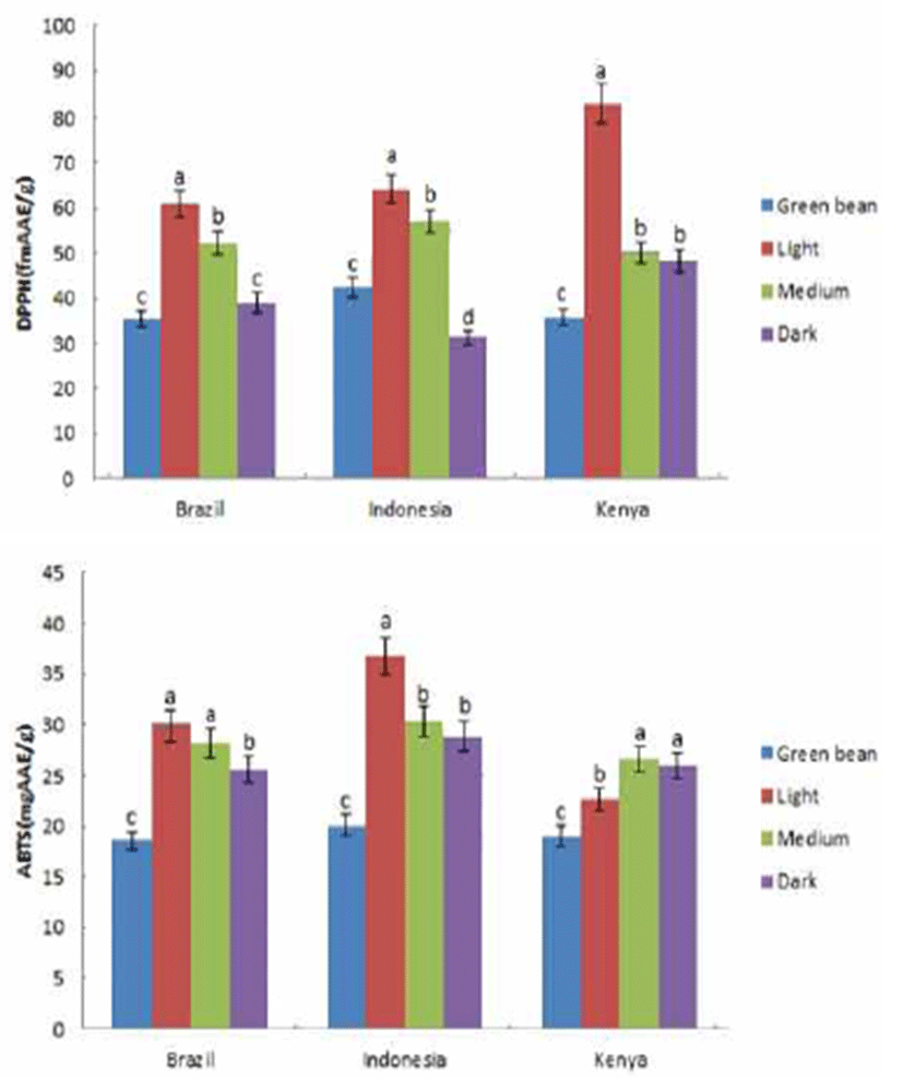
[커피 논문]배전조건이 아라비카 커피의 이화학적 성질에 미치는 영향

커피는 전 세계인들이 물 다음으로 많이 마시는 음료로, 전 세계 인구의 2/3가 커피를 마시고 있다(1). 세계 커피무역 에서 커피는 주로 커피를 볶은 전 상태인 생두(green been) 로 거래가 되며, 수입국에서 생두를 볶아 원두커피(roasted coffee)로 제조하게 된다. 커피의 생두는 탄수화물 (37~60%), 지방(9~18%), 단백질(11~13%), 수분(10~13%), 무기질(3.0~4.5%)로 구성되어 있으며, 그 외에 카페인 (caffeine)과 클로로겐산(chlorogenic acid)이 중요한 성분으 로 알려져 있다(2).커피 생두는 커피 고유의 향미를 느낄 수 없으며, 배전 (roasting)과정을 거쳐 커피 고유의 향미를 갖게 되기 때문에 배전 과정은 중요한 공정이라고 할 ..

커피 품질관리 논문 이화학적 검사 객관적인 실험을 통한 기준 마련 참고

서 론커피의 품질은 커피를 볶은 후의 화학물질의 구성과 밀접하게 관련이 되어 있으며, 이러한 화학물질들은 생두를 재배하는 과정과 재배 후 가공하는 과정(건조, 저장, 볶기, 분쇄)에 의해 영향을 받게 된다. 커피 생두의 품질을 평가하기 위해 사용되는 일반적인 기준은 생두의 크기, 색깔, 모양, 처리과정, 수확년도, 향기와 관능 그리고 결점두의 함량이다(Banks 등 1999). 아라비카 생두의 등급은 뉴욕상품거래소(NYBOT, New York Board of Trade)에서 생두 300 g 내에 들어있는 결점두의 갯수로 평가를 하고 있으며, 결점두는 ‘부패생두판별 기준법(black bean count basis)’에 의해 평가를 하게 된다(Franca 등 2005). 그러나 결점두가 커피의 향미에 부정적..

정보검색과 커피전문점 선택속성이 재방문 의도에 미치는 영향 카페논문 큐씨랩 커피팜 cofffeepharm qclab

인터넷 기술의 발달과 스마트 폰의 보급으로 오프라인의 대다수 영역이 온라인으로 이동하게 되었다. 인터넷 접근이 자유로워지면서 소비자들은 온라인 구전을 통하여 다양한 분야의 많은 정보를 자발적으로 생산하며 소 비하고 있다. 많은 정보들 중에서 필요한 정보를 선택할 때 정보검색을 하 는 경우가 빈번해지고 있으며, 이러한 온라인 영역의 마케팅은 그 영향력 이 점점 더커지고 있다. 최근 커피전문점의 수가 계속 증가하고 있으며, 많은 커피전문점들 중소 비자가 원하는 커피전문점 방문을 위한 정보검색도 늘고 있다. 본 연구에서 는 기존의 커피전문점의 선택속성과 검색을 통해 실제 방문했을 때의 선택 속성에 정보검색의 요인을 추가하여 커피전문점 재방문 의도에 미치는 영 향을 알아보고자 했다. 커피전문점을 방문해 본 경험..

커피 품질관리 분석기기들

커피 품질관리 분석기기들... 이거 다 있을려면 분석회사 차리지 ㅋㅋㅋㅋㅋㅋ    1. HPLC (High-Performance Liquid Chromatography) - 고성능 액체 크로마토그래피용도: 커피에 포함된 화학 성분 (예: 카페인, 클로로겐산 등)을 분석할 때 사용됩니다.추천 브랜드: Agilent, Shimadzu, Waters특징: 커피의 품질을 평가하는 데 중요한 성분들을 정밀하게 분석할 수 있습니다. 특히, 커피의 카페인 농도나 항산화물질, 산도 등을 측정할 수 있습니다.2. GC-MS (Gas Chromatography-Mass Spectrometry) - 가스 크로마토그래피-질량 분석기용도: 커피의 휘발성 향기 성분을 분석하는 데 사용됩니다. 커피의 향기와 관련된 화학 물질을 측..

커피 품질관리 분석 항목 중 TDS 굴절률에 관하여. 커피 원두 QC

커피 품질관리를 위해 가장 많이 알려진건 굴절률 TDS다. 검색해보니 VST 핸드 굴절계가 가장 좋은 기기로 알려진듯하다.하지만 제약회사 실험실에서 사용하는 브랜드는 다르다. 유명 기기들은 2~3가지 정도 되는듯 해. 내가 구매한다면 그래도 실험실에서 사용하는 굴절계를 구매해야지. 그래도 실험실인데! 굴절률은 매일 사용하는 기기가 아니다보니.. 고장이 잘안나는 기기? 이다. 사용법도 엄청 간단하다. 물 넣고 찍으면 끝! 커피팜 품질관리 실험실 셋팅을 위해 하나 둘 분석기기를 구매하고 있다. 현미경... pH 미터기.. 구매 완료! 그다음... 굴절계다. 신품으로 구매하려면 몇 천만원이 들겠지만. 내가 10년 넘게 실험실 품질관리 근무를 하다보니 어떤 브랜드가 좋고 나쁜지가 구분이 간다. 그리고 너무 좋은..

커피 TDS 측정시 사용하는 분석기기

커피의 농도(TDS)를 측정할 때는 굴절계를 사용하는 반면, 물의 TDS를 측정할 때는 전기 전도도 측정기를 사용합니다. 이 차이는 두 가지 중요한 이유와 관련이 있습니다​1. 물 속의 TDS 성분 차이물의 TDS는 미네랄, 이온 성분(칼슘, 마그네슘, 나트륨, 염화물 등)으로 구성됩니다.이온은 전하(전기적 성질)를 띠기 때문에, 전기가 잘 통하는 성질이 있습니다.전기 전도도는 물 속의 이온 농도와 밀접하게 연관되어 있습니다. 이온이 많을수록 전기가 잘 통하고, 전기 전도도 값이 높아집니다.따라서 전기 전도도 측정기를 통해 물 속의 TDS 농도를 쉽게 파악할 수 있습니다.​2. 물의 굴절률 변화가 미미함물은 일반적으로 순도 높은 액체입니다. TDS 값이 높더라도 그 대부분은 이온화된 미네랄 성분이며, 물..

커피의 과학적인 품질관리를 위한 분석 기기들 feat.coffeepharm

여러 기기를 통하여 얻게 되는 정보는 오차범위 내에서의 객관성을 가질 수 있고요, 로스팅에 관한 시각적 정보와 함께 의견교환, 주관적인 기준설정등 ​커피 로스팅 작업에 도움이 될 것 같습니다. ​​ 저울중량측정기본이 되는 저울은 단순히 무게를 재는 기기일 뿐이지만,중량의 오차가 이후의 모든 작업에 지대한 영향을 미치므로 용도에 맞는 저울의 선택과 오차범위의 숙지는 매우 중요하겠지요!  CAS SW: KG 단위의 중량 측정에 사용​최대 30 Kg 까지 , 오차범위는 ± 0.01 Kg  Ohaus Navigator : G(g)단위의 무게 측정에 사용하고 있습니다. ​최대 2000 g 까지,오차범위는 ± 0.1 g     ​​스크린: 생두의 최소 직경 길이별 분류에 사용하는 기구이고요, ​쉽게 말해 생두 크기..

대형카페 커피팜 창업을 위한 글. 위치의 중요성 환경적 요인편

커피팜의 위치가 이곳 그리고 대형카페이어야하는 이유!현대인들은 급격한 도시화 및 산업화의 영향으로 만들어진 복잡한 도시 환경 속에서 느끼는 우울감, 피로감, 불안감 등의 심리적 스트레스는 사회적 문제이기도 하다. 사람들은 문제 해결을 위해 정서적 치유의 목적으로 생활하는 환경 및 공간에서 자연 친화적, 환경 친화적 경향이 도입 되고 있다. 자연 분위기의 카페 공간에서 자연친화적 요소는 자연의 활력과 심리적 쾌적함을 가질 수 있게 한다.환경이란 생명체 주위에서 생명활동에 영향을 주거나 생명활동에 따라 영향을 받는 주변의 자연환경, 대기, 물, 땅, 자연자원, 에너지, 기타 유무생물 등 인간을 포함한 모든 생명체를 총칭한다. 넓은 의미로 어떤 주체를 둘러싸고 영향을 미치는 유형 및 무형 객체의 총체라고 할 ..

커피원두의 분쇄입도에 따른 커피 추출물의 이화학적 품질특성 및 휘발성 향기성분 분석

커피원두의 분쇄입도에 따른 커피 추출물의 이화학적 품질특성 및 휘발성 향기성분 분석 ABSTRACT In this study, we investigated the physicochemical properties of coffee brews according to coffee bean grinding grade. We also examined the effect of grinding grade on amounts of volatile flavor compounds. Coffee brew samples were separated using standard sieves (with pore sizes of 850, 600, and 425 μm), making particle sizes of ground bean..

화성시 향남읍에 위치한 동네 카페 커피제작사 라떼맛집 개인카페

동네 카페 리뷰: 라떼 맛집 탐방안녕! 오늘은 내가 최근에 다녀온 동네 카페를 소개해볼게. 이 카페는 라떼 맛집으로 소문이 자자한 곳이라서 기대가 컸어. 그럼 시작해볼게! 카페 소개이 카페는 도심 속에 위치해 있어서 접근성이 좋고, 내부는 아늑하고 편안한 분위기로 꾸며져 있어. 인테리어는 모던하면서도 따뜻한 느낌이 나서, 친구들과 수다 떨기에도 좋고 혼자서 책 읽기에도 딱이야.2025.10.21 - [브랜딩(Branding)/투어] - 화성시 향남읍 맛집 지도 대공개! 숨겨진 맛집 내돈내산 찐 맛집 실시간 공유 화성시 향남읍 맛집 지도 대공개! 숨겨진 맛집 내돈내산 찐 맛집 실시간 공유벌써.. 향남에 산지 10년이나? ㅜ나만 알고 싶은 그런 특별한 공간들을 모아모아, 일명 '향남읍 맛집 지도'를 만들어봤..

반응형
마이크로피펫 볼펜
사전예약 진행 중