제약회사 품질관리(QC) 실험실 실무지식 무료나눔 | QCLAB 제약회사 품질관리팀에서 쌓은 경험을 바탕으로, 체계적인 품질관리와 독창적인 브랜딩을 결합해 기존의 틀을 넘어서는 새로운 형태의 블로그 운영
Why we began this journey... What is identity? 자세히보기

브랜딩(Branding)/커피 품질관리 34

델라웨어 테크니컬 커뮤니티 칼리지의 식음료 운영 매뉴얼에서 배우는 조직 시스템의 완성도

델라웨어 테크니컬 커뮤니티 칼리지(Stanton/Wilmington 캠퍼스)는 단순한 학문 기관이 아니라, 운영의 모든 영역을 매뉴얼화한 체계적인 조직 모델로 알려져 있다. 2022년 개정된 Food Service and Conferencing Policy and Operations Manual은 대학 내 카페테리아, 컨퍼런스 센터, 케이터링 서비스를 통합적으로 관리하기 위한 표준운영절차(SOP) 집약서다. 단순한 조리 매뉴얼이 아니라, 사람·위생·재정·고객응대 전반을 다루는 시스템 매뉴얼에 가깝다. 문서는 크게 다섯 축으로 구성된다. 첫째는 인사 및 출퇴근 관리 정책이다. 모든 직원은 근무 전후의 출퇴근 시간을 명확히 기록하고, 결근이나 지각 시 반드시 2시간 전 통보를 해야 한다. 3일 이상 무단결근..

하와이대학의 농업 실험실 SOP에서 배우는 진짜 품질관리의 기본기

하와이대학교 마노아 캠퍼스 산하 열대농업자원대학(College of Tropical Agriculture & Human Resources)은 2022년에 ‘IR-4 Field Research Center’를 위한 표준작업절차서(Standard Operating Procedures, SOP)를 발표했다. 이 문서는 단순한 실험 매뉴얼이 아니라, 연구 신뢰성을 보장하기 위한 과학적 시스템의 정수다.문서의 목적은 명확하다. 모든 실험이 40 CFR Part 160, 즉 미국 환경보호청(EPA)의 GLP(Good Laboratory Practice) 기준에 부합하도록 운영하는 것이다. 쉽게 말해, 농약 실험이나 식물 보호 연구가 제약공정과 동일한 수준의 품질관리 체계로 관리되도록 만든 것이다. 내용을 보면 우..

제약회사 QbD 시스템을 커피팜에 약식으로나마 적용하는 날이 오지 않을까?

QbD 시스템?설계기반 품질고도화란 과학적 접근법과 품질위험관리에 근거하여 제품 및 공정에 대한 이해와 공정관리를 강조하는 체계적인 접근법이다. QbD는 현재 제약회사에도 적용하기 힘들다.. 그만큼.. 어렵고 힘들다.. 국내 제약사들은 의약품  설계기반 품질고도화(QbD, Quality by Design) 도입과 적용 필요성에 대체적으로 공감하지만, 여전히 10곳 중 약 6곳은 한번도 적용한 경험이 없는 것으로 파악됐다.이 같은 사실은 국회예산정책처가 최근 공개한 '2022회계연도 결산 위원회별 분석' 보고서를 통해 확인됐다.1일 관련 보고서를 보면, 식품의약품안전처는 의약품 제조 및 품질 관리  체계 고도화를 통해 국내 제약산업의 산업경쟁력을 강화하고, 맞춤형 지원으로 국내 개발의약품의 신속한 제품화 ..

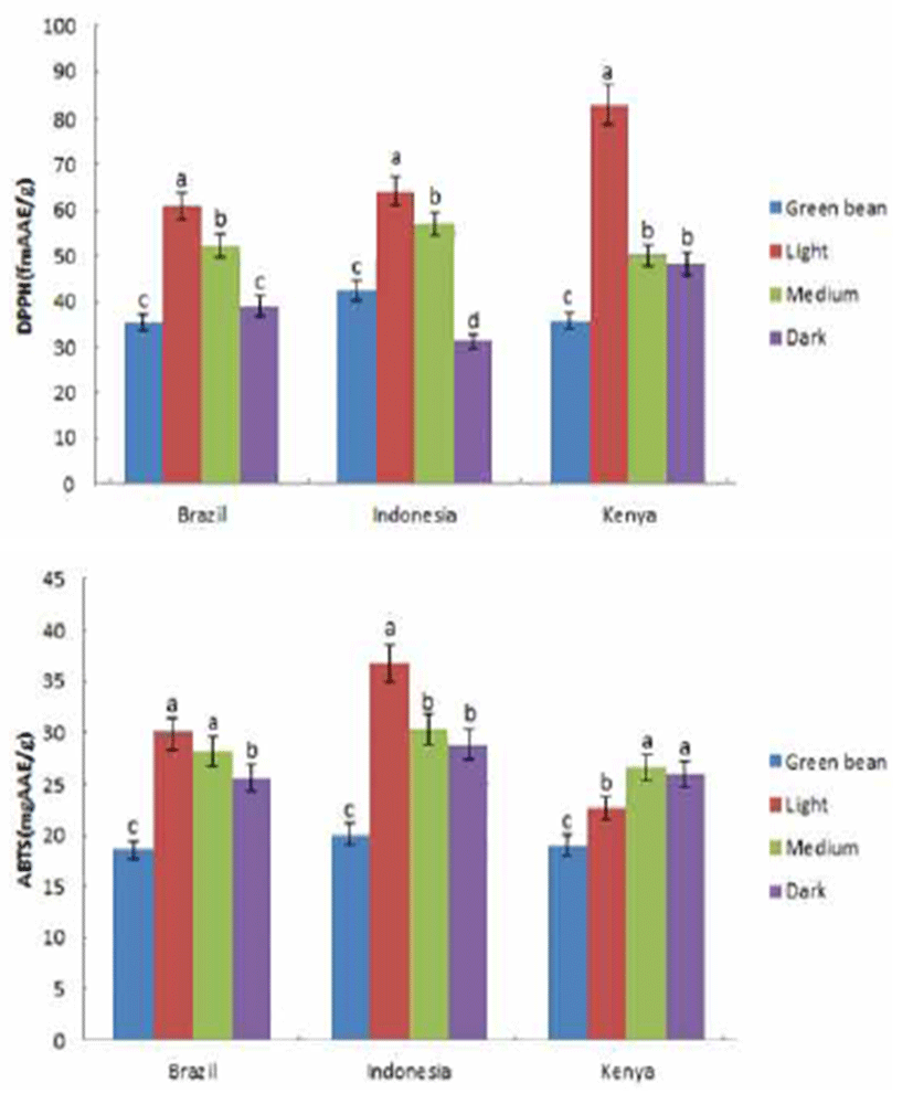
[커피 논문]배전조건이 아라비카 커피의 이화학적 성질에 미치는 영향

커피는 전 세계인들이 물 다음으로 많이 마시는 음료로, 전 세계 인구의 2/3가 커피를 마시고 있다(1). 세계 커피무역 에서 커피는 주로 커피를 볶은 전 상태인 생두(green been) 로 거래가 되며, 수입국에서 생두를 볶아 원두커피(roasted coffee)로 제조하게 된다. 커피의 생두는 탄수화물 (37~60%), 지방(9~18%), 단백질(11~13%), 수분(10~13%), 무기질(3.0~4.5%)로 구성되어 있으며, 그 외에 카페인 (caffeine)과 클로로겐산(chlorogenic acid)이 중요한 성분으 로 알려져 있다(2).커피 생두는 커피 고유의 향미를 느낄 수 없으며, 배전 (roasting)과정을 거쳐 커피 고유의 향미를 갖게 되기 때문에 배전 과정은 중요한 공정이라고 할 ..

커피 품질관리 논문 이화학적 검사 객관적인 실험을 통한 기준 마련 참고

서 론커피의 품질은 커피를 볶은 후의 화학물질의 구성과 밀접하게 관련이 되어 있으며, 이러한 화학물질들은 생두를 재배하는 과정과 재배 후 가공하는 과정(건조, 저장, 볶기, 분쇄)에 의해 영향을 받게 된다. 커피 생두의 품질을 평가하기 위해 사용되는 일반적인 기준은 생두의 크기, 색깔, 모양, 처리과정, 수확년도, 향기와 관능 그리고 결점두의 함량이다(Banks 등 1999). 아라비카 생두의 등급은 뉴욕상품거래소(NYBOT, New York Board of Trade)에서 생두 300 g 내에 들어있는 결점두의 갯수로 평가를 하고 있으며, 결점두는 ‘부패생두판별 기준법(black bean count basis)’에 의해 평가를 하게 된다(Franca 등 2005). 그러나 결점두가 커피의 향미에 부정적..

정보검색과 커피전문점 선택속성이 재방문 의도에 미치는 영향 카페논문 큐씨랩 커피팜 cofffeepharm qclab

인터넷 기술의 발달과 스마트 폰의 보급으로 오프라인의 대다수 영역이 온라인으로 이동하게 되었다. 인터넷 접근이 자유로워지면서 소비자들은 온라인 구전을 통하여 다양한 분야의 많은 정보를 자발적으로 생산하며 소 비하고 있다. 많은 정보들 중에서 필요한 정보를 선택할 때 정보검색을 하 는 경우가 빈번해지고 있으며, 이러한 온라인 영역의 마케팅은 그 영향력 이 점점 더커지고 있다. 최근 커피전문점의 수가 계속 증가하고 있으며, 많은 커피전문점들 중소 비자가 원하는 커피전문점 방문을 위한 정보검색도 늘고 있다. 본 연구에서 는 기존의 커피전문점의 선택속성과 검색을 통해 실제 방문했을 때의 선택 속성에 정보검색의 요인을 추가하여 커피전문점 재방문 의도에 미치는 영 향을 알아보고자 했다. 커피전문점을 방문해 본 경험..

커피 품질관리 분석기기들

커피 품질관리 분석기기들... 이거 다 있을려면 분석회사 차리지 ㅋㅋㅋㅋㅋㅋ    1. HPLC (High-Performance Liquid Chromatography) - 고성능 액체 크로마토그래피용도: 커피에 포함된 화학 성분 (예: 카페인, 클로로겐산 등)을 분석할 때 사용됩니다.추천 브랜드: Agilent, Shimadzu, Waters특징: 커피의 품질을 평가하는 데 중요한 성분들을 정밀하게 분석할 수 있습니다. 특히, 커피의 카페인 농도나 항산화물질, 산도 등을 측정할 수 있습니다.2. GC-MS (Gas Chromatography-Mass Spectrometry) - 가스 크로마토그래피-질량 분석기용도: 커피의 휘발성 향기 성분을 분석하는 데 사용됩니다. 커피의 향기와 관련된 화학 물질을 측..

커피 품질관리 분석 항목 중 TDS 굴절률에 관하여. 커피 원두 QC

커피 품질관리를 위해 가장 많이 알려진건 굴절률 TDS다. 검색해보니 VST 핸드 굴절계가 가장 좋은 기기로 알려진듯하다.하지만 제약회사 실험실에서 사용하는 브랜드는 다르다. 유명 기기들은 2~3가지 정도 되는듯 해. 내가 구매한다면 그래도 실험실에서 사용하는 굴절계를 구매해야지. 그래도 실험실인데! 굴절률은 매일 사용하는 기기가 아니다보니.. 고장이 잘안나는 기기? 이다. 사용법도 엄청 간단하다. 물 넣고 찍으면 끝! 커피팜 품질관리 실험실 셋팅을 위해 하나 둘 분석기기를 구매하고 있다. 현미경... pH 미터기.. 구매 완료! 그다음... 굴절계다. 신품으로 구매하려면 몇 천만원이 들겠지만. 내가 10년 넘게 실험실 품질관리 근무를 하다보니 어떤 브랜드가 좋고 나쁜지가 구분이 간다. 그리고 너무 좋은..

커피 TDS 측정시 사용하는 분석기기

커피의 농도(TDS)를 측정할 때는 굴절계를 사용하는 반면, 물의 TDS를 측정할 때는 전기 전도도 측정기를 사용합니다. 이 차이는 두 가지 중요한 이유와 관련이 있습니다​1. 물 속의 TDS 성분 차이물의 TDS는 미네랄, 이온 성분(칼슘, 마그네슘, 나트륨, 염화물 등)으로 구성됩니다.이온은 전하(전기적 성질)를 띠기 때문에, 전기가 잘 통하는 성질이 있습니다.전기 전도도는 물 속의 이온 농도와 밀접하게 연관되어 있습니다. 이온이 많을수록 전기가 잘 통하고, 전기 전도도 값이 높아집니다.따라서 전기 전도도 측정기를 통해 물 속의 TDS 농도를 쉽게 파악할 수 있습니다.​2. 물의 굴절률 변화가 미미함물은 일반적으로 순도 높은 액체입니다. TDS 값이 높더라도 그 대부분은 이온화된 미네랄 성분이며, 물..

커피의 과학적인 품질관리를 위한 분석 기기들 feat.coffeepharm

여러 기기를 통하여 얻게 되는 정보는 오차범위 내에서의 객관성을 가질 수 있고요, 로스팅에 관한 시각적 정보와 함께 의견교환, 주관적인 기준설정등 ​커피 로스팅 작업에 도움이 될 것 같습니다. ​​ 저울중량측정기본이 되는 저울은 단순히 무게를 재는 기기일 뿐이지만,중량의 오차가 이후의 모든 작업에 지대한 영향을 미치므로 용도에 맞는 저울의 선택과 오차범위의 숙지는 매우 중요하겠지요!  CAS SW: KG 단위의 중량 측정에 사용​최대 30 Kg 까지 , 오차범위는 ± 0.01 Kg  Ohaus Navigator : G(g)단위의 무게 측정에 사용하고 있습니다. ​최대 2000 g 까지,오차범위는 ± 0.1 g     ​​스크린: 생두의 최소 직경 길이별 분류에 사용하는 기구이고요, ​쉽게 말해 생두 크기..

커피원두의 분쇄입도에 따른 커피 추출물의 이화학적 품질특성 및 휘발성 향기성분 분석

커피원두의 분쇄입도에 따른 커피 추출물의 이화학적 품질특성 및 휘발성 향기성분 분석 ABSTRACT In this study, we investigated the physicochemical properties of coffee brews according to coffee bean grinding grade. We also examined the effect of grinding grade on amounts of volatile flavor compounds. Coffee brew samples were separated using standard sieves (with pore sizes of 850, 600, and 425 μm), making particle sizes of ground bean..

Product quality, service reliability and management of operations at Starbucks. 스타벅스 카페운영 논문

AbstractHigh product quality, service reliability, and management of operations are key factors in business growth and sustainability. Analyzing “The Starbucks Experience” is a pedagogical approach to reinforcing the concepts of control and management of quality, service reliability, and efficient operations in action. The objective of this paper is to show how providing high-quality, reliable p..

Exploring Coffee Shop Environment Design Through the Lens of User's Five-Sensory Experience.

Abstract: In the era of the experience economy, to satisfy consumers' spiritual and sensory needs, scholarly attention has turned towards "sensory engineering" which emphasizes the measurement of the human five senses, transforming them into data factors for rational analysis. Sensory engineering has important implications in the experience economy, which has evolved with the increased emphasis ..

카페 재고 관리 엑셀 파일 무료 배포

카페 재고 관리 엑셀 파일 무료 배포재고관리 엑셀 파일 무료 다운로드 - 카페 재고관리 솔루션 공개! 카페나 소규모 식당을 운영하시나요?혹은 이제 막 가정에서 작은 비즈니스를 시작하셨나요?재고 관리를 처음 하시는 분들부터 경험 많은 운영자분들까지 모두를 위해 준비했습니다! ✅ 무료지만 강력한! 카페 재고관리 엑셀파일 나눔직접 써본 분들의 극찬을 먼저 들어보세요👇“이 파일 덕분에 재고 관리를 훨씬 더 쉽게 할 수 있게 되었어요! 정말 감사합니다!”“무료로 제공되는데 기능이 너무 좋아서 놀랐어요!”“카페를 운영하는데 필수적인 서식입니다. 추천합니다!”⸻👩‍🍳 이런 분들을 위해 제작했습니다!• 카페 운영자• 소규모 식당 사장님• 홈카페 또는 1인 창업 준비자• 재고 관리를 처음 시작하는 초보자• 비즈니스..

반응형
마이크로피펫 볼펜
사전예약 진행 중