분석 절차를 관리하는 과정에서 사용되는 용어들은 단순한 정의를 넘어 품질 데이터를 신뢰할 수 있도록 보증하는 기준이 된다. 특히 제약 QC(품질관리) 실무에서는 시스템 적합성(System suitability), 분석공백(Analytical blank), 교정(Calibration), 검출한계(Limit of detection)와 같은 개념이 분석 신뢰성의 근간을 형성한다. 각각은 독립적인 의미를 가지지만, 서로 연결된 절차 속에서 데이터의 정확성과 기기의 성능을 평가하는 역할을 수행한다.
System suitability: 분석 시스템의 신뢰성 검증
System suitability는 method validation과 자주 혼동되지만, 본질적으로 다른 목적을 가진다. Method validation은 새로운 분석법이 개발된 후 그 방법이 정확하고 재현 가능한지를 입증하기 위한 단회성 평가다. 반면 system suitability는 실제 분석이 수행될 때마다 기기와 시스템이 정상적으로 작동하는지를 확인하는 절차다. 즉, 분석을 수행하기 전후로 기기의 안정성을 검증하는 일상적 품질관리 과정에 속한다.
시스템 적합성 평가는 분석 장비의 성능을 점검하기 위한 여러 항목으로 구성된다. 제약 QC에서는 네 가지 Qs(Design, Installation, Operation, Performance) 규칙을 기준으로 삼는다. 첫째, 디자인 조건은 연구 목적에 적합한 기기인지 판단하는 단계다. 둘째, 설치 조건은 장비가 제조업체의 기준에 따라 적절히 설치되어 있는지를 확인한다. 셋째, 작동 조건은 분석 목적에 맞게 장비가 제대로 작동하는지를 점검한다. 마지막으로 수행 조건은 시간이 지나도 동일한 성능을 유지할 수 있는지를 검증하는 단계다. 이 네 가지가 충족되면, 분석가는 시스템 모니터링을 위해 용출시험(dissolution test)과 같은 검증 시험을 수행하며 분석의 일관성을 확보한다.
Analytical blank
Analytical blank는 말 그대로 분석물질이 전혀 없는 시료를 의미한다. 이는 실험에 사용되는 시약이나 용매가 결과에 영향을 미치지 않는지 확인하기 위한 기준점이다. 예를 들어 적정 실험에서는 지시약이 실제 적정제의 소모량에 영향을 주지 않는지를 검증할 때 사용되며, 분광광도계에서는 장비의 영점 조절과 같은 역할을 수행한다. 또한 크로마토그래피에서는 시료가 주입되지 않은 상태의 baseline 간섭을 확인함으로써 신호와 노이즈를 구분할 수 있다. Analytical blank는 실제 측정값에서 불필요한 외부 요인을 제거하기 위한 참조 데이터로, 분석 신뢰성 확보의 출발점이라 할 수 있다.
Calibration
Calibration은 분석 장비의 정확성을 보증하기 위한 과정으로, 측정값이 표준값과 일치하는지를 비교·조정한다. 제약 QC에서는 주로 분광기, 크로마토그래프, 저울 등의 교정이 주기적으로 수행된다. 예를 들어 UV/Vis 분광광도계에서는 파장과 흡광도를 교정하고, IR 분광계에서는 파장을 기준으로 교정이 이루어진다. 크로마토그래피에서는 표준용액을 이용해 검량선(calibration curve)을 작성하여 농도와 피크면적 간의 상관성을 확보한다. 교정의 본질은 데이터의 신뢰도를 높이는 데 있으며, 잘못된 교정은 분석의 모든 단계를 왜곡시킬 수 있기 때문에 GMP 기준에서는 교정 이력과 결과를 Audit Trail 형태로 기록하도록 요구한다.

Limit of detection
Limit of detection(LOD)은 측정 가능한 최소 분석물의 양을 의미한다. 통계적으로는 샘플 신호(X)와 blank 신호(XB)의 차이가 blank의 표준편차(SB)의 3배 이상일 때 검출 가능하다고 정의한다. 즉, X – XB = 3SB라는 식으로 표현된다. 이 기준은 단순히 수학적 계산이 아니라 실제 분석 조건을 반영해야 한다. 분석물이 희석될수록 신호대잡음비(S/N)가 낮아지기 때문에, 검출한계는 단순한 희석 실험으로 결정되지 않는다.
크로마토그래피의 경우 baseline이라 불리는 일정한 배경 신호가 존재하므로, LOD는 분석 피크 전후 0.5분 동안의 baseline 표준편차의 3배 이상의 신호를 제공할 때로 정의하는 것이 실무적으로 타당하다. 결국 검출한계는 기기의 민감도뿐 아니라 샘플 전처리 과정, 매트릭스 효과, 분석자의 숙련도에 따라 달라질 수 있다.

Limit of quantification
Limit of quantification은 정량적으로 믿을 수 있는 분석물의 최소량으로써 정의된다. limit of quantification은 X – XB = 10SB로 정의된다. 이 경우 분석물은 chromatographic 분석 동안 chromatographic baseline의 10 번 이상의 peak를 제공하는 것이다.

풀이> 1. 0.0063 – 0.0045 > 3 X 0.0003
2. 0.0075 – 0.0046 > 3 X 0.0018 (X)
3. 0.335 – 0.045 > 3 X 0.037
2025.06.03 - [COFFEEPHARM QCLAB ] - About Us
About Us
커피 한 잔에도 믿음이 필요하다고 느낀 적 있는가. 예쁜 카페, 감성적인 분위기, 고급 원두라는 말은 흔하다. 하지만 정말 이 커피가 어디서, 어떻게 만들어졌고, 내가 마신 이 맛이 다음에 와도
qclab.kr
Linearity
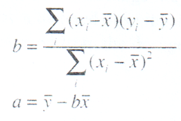
대부분의 분석 방법은 분석물 농도와 함께 선형으로 증가 또는 감소에 반응하는 과정을 기본으로 한다. 직선 형태의 방정식:
y = a + bx
a는 y축의 절편이고 b는 기울이다. 간단한 예로 프로카인 농도에 따른 흡광도를 통해 3 점의 calibration curve가 작성된다 (Table 1.4).

이러한 수치를 통한 직선의 최고의 fit은 다음과 같은 방정식으로부터 구해지는 a와 b로 결정된다.


최고의 fit 방정식은:
y = 0.818x – 0.052
데이터를 통한 fit의 양호함의 통계적인 측정은 상관계수 r이다. 상관계수가 0.99 이상일 때 선형으로 여겨진다. 상관 계수는 다음의 방정식으로 측정된다:

Table 1.3으로부터 수치를 대입하면:

따라서 Table 1.3의 수치를 통한 직선 fit은 완벽하다. 상관 계수의 중요성은 참조 1에 보인다. 상관계수 방정식은 어떤 모양의 커브 사이의 상관관계에 적용할 수 있고 HPLC 동안 얻어지는 diode array spectra 와 같은 스펙트럼의 비교에 사용될 수 있기 때문에 매우 유용하다.
'품질관리(Quality Control) > 약품분석학' 카테고리의 다른 글
| 국소 마취제인 proxymetacaine을 포함하는 eyedrops 2 mL 안의 약물의 %w/v를 계산하라. (0) | 2025.10.28 |
|---|---|
| AAS 분석 Na 농도를 NaCl 농도로 변환 시료의 표시 함량 대비 실제 함량 계산 (1) | 2025.10.28 |
| 고농도 stock solution으로부터 다단계 희석을 통해 다양한 저농도 표준용액을 조제하는 과정 (1) | 2025.10.28 |
| 표준원액 조제와 농도 계산의 실제: 제약 QC 실무자가 알아야 할 기본기 (1) | 2025.10.27 |
| 약품분석 정확한 계량과 분석 계산의 기본 원리 (1) | 2025.10.27 |